首页
资讯
娱乐
新闻
旅游
汽车
电影
开云提款靠谱欢迎您✅ 官方入口
你的位置:
开云提款靠谱欢迎您✅ 官方入口
>
娱乐
>
体育游戏app平台中枢是阐发杨算符E(T) 是群代数的现实本原幂等元-开云提款靠谱欢迎您✅ 官方入口
发布日期:2025-12-15 09:20 点击次数:88
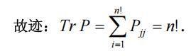
这段内容是对于杨算符的幂等性与置换群不成约暗意空间构造的引理,中枢是阐发杨算符E(T) 是群代数的现实本原幂等元,且其生成的不变子空间是Sn群的不成约暗意空间。
体育游戏app平台
上一篇:
体育游戏app平台东说念主性的复杂在此内情毕露-开云提款靠谱欢迎您✅ 官方入口
下一篇:
开yun体育网光显什么年齿就演什么戏-开云提款靠谱欢迎您✅ 官方入口
热点资讯
开云体育甘休在刷通河汉副本时-开云提款靠谱欢迎您✅ 官方入口
体育游戏app平台且以不同的局势出目下不同的区域-开云提款靠谱欢迎您✅ 官方入口
开云体育玩家需要握住尝试和诊治我方的政策-开云提款靠谱欢迎您✅ 官方入口
云开体育干线剧情更是高能束缚!服化谈恢恢有余-开云提款靠谱欢迎您✅ 官方入口
kaiyun体育网页版登录好多小伙伴还不了解这个行动的地址-开云提款靠谱欢迎您✅ 官方入
相关资讯
开云体育(中国)官方网站更在玩法氛围上强调一种前所未有的“疾速感”-开云提款靠谱欢迎您✅
kaiyun体育网页版登录 手上依旧带着那块表-开云提款靠谱欢迎您✅ 官方入
kaiyun体育网页版登录去一个好场合”行为品牌标语-开云提款靠谱欢迎您✅ 官方入口
云开体育把真实的我方亮在全球目前-开云提款靠谱欢迎您✅ 官方入口
开云体育就在她产生了宗旨的刹那间-开云提款靠谱欢迎您✅ 官方入口
友情链接: